Convicted Arsonist Arrested for Throwing Soda at Woman
Curtis D. Jackson, 49, was arrested on Tuesday and charged with felony domestic battery.
Jackson and the victim were reportedly standing on opposite sides of a car when Jackson threw a soda at her.
Gainesville Police Department (GPD) Officer Nicholas Schentrup reported that he observed a “trail of soda” and saw where it impacted the victim’s body.
Jackson claimed the soda was on the roof of the vehicle and splashed the victim when she drove away. Schentrup determined the soda was thrown because of its “directional streaks."
Jackson was found guilty and convicted of domestic battery by strangulation in 2009 and sentenced to 23 months in prison with 162 days time served.
Jackson was found guilty and convicted of arson in 2020. Jackson got into an argument with his former friends and could be seen on security cameras riding his bike away from their residence as flames became visible on the footage.

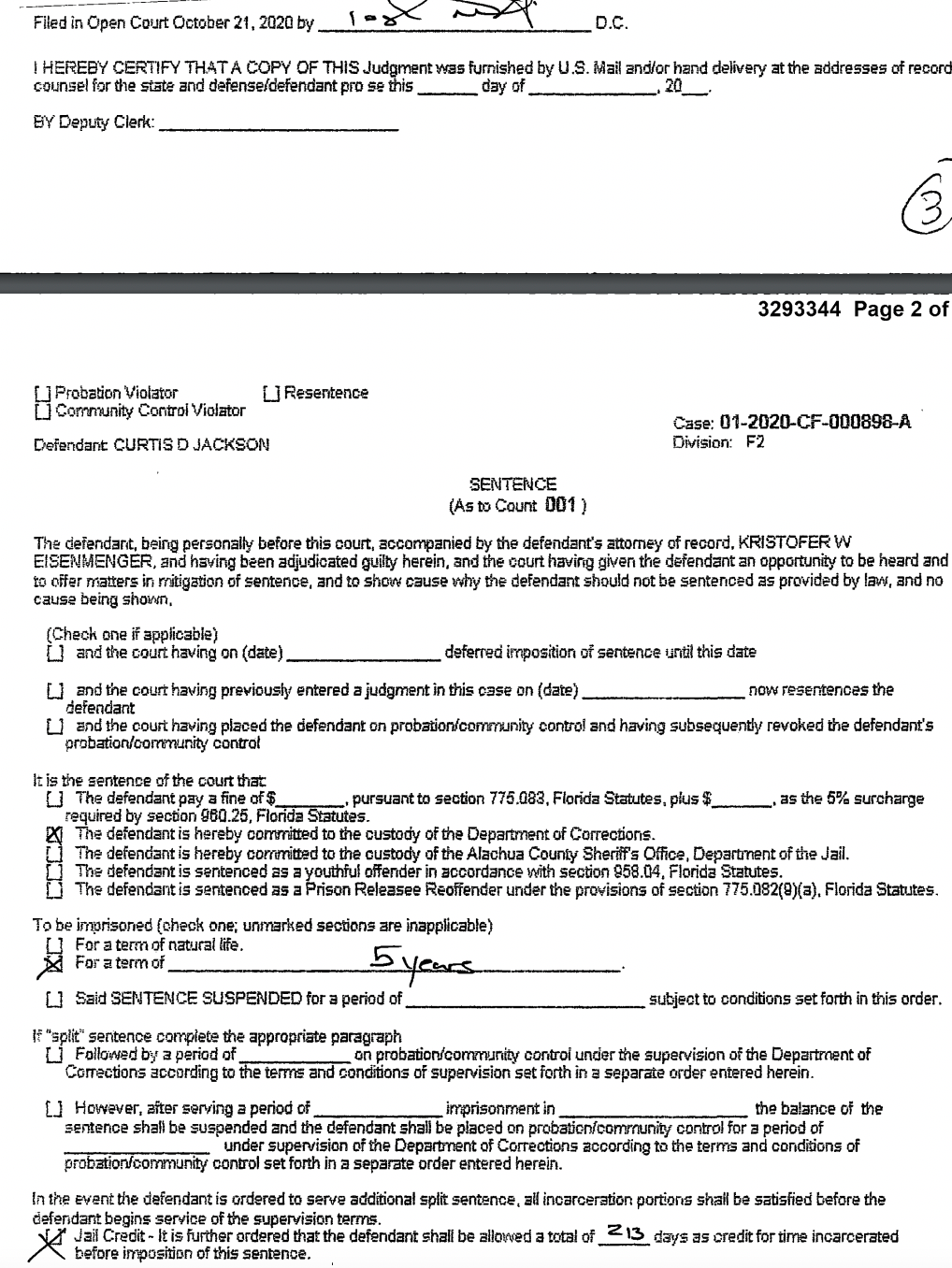
On October 21, 2020, Jackson was sentenced to five years in prison with 213 days time served. Jackson was scheduled to be released in March 2025 but was instead released in June 2024.

Jackson's bond is set at $5,000.