Gainesville Man Convicted of Domestic Battery by Strangulation and Property Damage, 18 Months in Prison
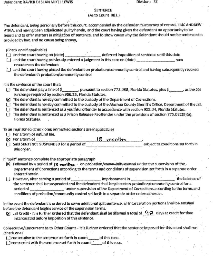
On November 6, Xavier Desean Mikel Lewis, 32, was sentenced to 18 months in prison and 18 months of probation following a no contest plea and conviction of domestic battery by strangulation (felony) and property damage (misdemeanor).

Facing up to five years in prison, Lewis took a plea deal that was accepted by Judge James Colaw.
According to the arrest report, Emergency Medical Services (EMS) had already responded to the location when they contacted law enforcement. A Shands medic told police that they initially responded to a “fall patient,” but when they responded, the victim was being punched in the head by a man later identified as Lewis.
The victim told police that at 1 a.m. that morning, two days after their breakup, Lewis pushed her from behind, causing her to fall onto concrete steps. The victim got up and ran into the house, locking the door behind her. Lewis then entered the residence through a window and began yelling at the victim and throwing objects, which included a microwave and lamp. The incident occurred at one in the morning, and at the time the victim didn’t contact police.
The following morning the victim woke up sore, and she called EMS to have them meet her at a restaurant located a short walk from her house.
When the victim came out to the street to meet EMS, she was confronted by Lewis, who began cursing at her. Lewis chased the victim into an intersection, where he took her walker and phone from her. EMS pulled up to her house, at which time Lewis began striking her in the head. The victim yelled for help, and EMS medics approached her, prompting Lewis to leave.
The victim advised that Lewis appeared to have a homemade shank in his hand, but he didn’t threaten her with it. She also said that when she exited her house, she noticed her belongings, which were in her house that morning after Lewis left, on the ground in a smoldering fire. The victim believes Lewis snuck in and grabbed her belongings.
The victim had visible injuries that were observed by police.
The victim’s roommate told police he came out to see Lewis throwing stuff on the floor. The witness advised that he made Lewis leave and saw a broken lamp on the floor, and soon after noticed a fire in the front yard that he put out.

The arrest report goes on to state, “Ofc. Kaastra advised that he canvassed the area and located a camera at [a neighbor’s house], who reviewed the footage with him. On the camera he observed [the victim] walking westbound on NE 1st Ave towards NE 14th St, with Lewis following closely behind. Lewis and [the victim] appeared to be arguing, and [she] is seen and heard (inaudible what is actually said) turning around saying something to Lewis. [The victim] is walking with her walker, and Lewis is shirtless, wearing tan shorts. EMS is seen driving in the area, and at approximately [9:30 a.m.], [the victim] is on the gurney being brought back to the rescue.
Lewis has another felony battery conviction from 2023 for punching a clerk at Foodmax.
Lewis has a misdemeanor domestic battery conviction from 2022 out of Jacksonville.
As of now, Lewis is sitting in the Alachua County Jail waiting to be transported to a Florida Department of Corrections facility.