Gainesville Man Pleads to Lesser Included Offense, Sustains One Year Jail Sentence
Two weeks ago, Zyvione Jacolby Speed-Mitchell, 26, submitted a plea of no contest to misdemeanor battery despite facing charges of aggravated battery and false imprisonment, both felonies. Speed-Mitchell was sentenced to 364 days in jail; however, as part of the plea deal that was accepted by Judge Robert Groeb, the sentence ran concurrently, i.e., alongside another one-year jail sentence he received for a connected pretrial violation case. He was given credit for nearly half a year of time served.
Court records in Alachua County show Speed-Mitchell has three felony convictions and 47 misdemeanor convictions, along with hundreds of dropped charges.
2017-2019 Cases
In December 2017, Speed-Mitchell was arrested for grand theft after Gainesville Police Department (GPD) officers caught him with a moped that did not belong to him.
Speed-Mitchell was convicted in March 2018 and sentenced to three years of probation but later received a three month jail sentence after violating it.
Between 2018-2019, Speed-Mitchell was charged with trespassing, petty theft and disorderly conduct but all were dropped.
The trespassing charge stemmed from Speed-Mitchell allegedly entering a vehicle when he was aware it was stolen.
The theft report alleged that Speed-Mitchell possessed a bike that wasn't his, which he denied, saying it belonged to "his people."
The disorderly conduct report alleged that Speed-Mitchell was involved in a brawl with at least five other people.
2020 Cases
On January 2, 2020, Speed-Mitchell was charged via sworn complaint with domestic battery by strangulation and intimidation for an incident that occurred a few days before the new year.
The report states Speed-Mitchell choked the victim several times over a period of 5-6 minutes. After releasing the victim, she told him “Get your stuff and get out,” and said she was calling the police. Speed-Mitchell then allegedly prevented the victim from leaving the room to call the police and reportedly smashed her phone.
An officer noted the victim had a small laceration on her neck and bruising consistent with strangulation.
There weren’t any eye witnesses but an individual in another room told police they heard the victim telling Speed-Mitchell to get off her.
On January 7, 2020, Speed-Mitchell was arrested on a warrant but prosecutors dropped the charges on February 6, 2020.
On February 14, 2020, Valentines Day, Speed-Mitchell was arrested and charged with aggravated domestic battery and resisting an officer without violence.
According to the arrest report, Speed-Mitchell became physically violent with the victim when she didn’t want to talk to him. Starting by pushing her head to the side, Speed-Mitchell reportedly escalated by pulling the victim onto the floor and slapping her. While she was on the ground, Speed-Mitchell reportedly punched her, causing her to lose consciousness.
On March 5, 2020, still in jail, Speed-Mitchell allegedly called the victim, prompting a sworn complaint for violating pretrial conditions.
On March 20, 2020, prosecutors dropped the aggravated battery/resisting case, and then dropped the pretrial violation case about two months later.
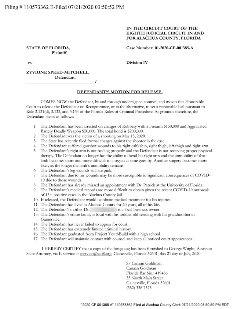
On May 25, 2020, Speed-Mitchell was arrested on a warrant for aggravated battery and armed robbery for an incident that occurred months earlier. GPD Officer Thomas Mullins reported the following:

“On [February 1, 2020], [Speed-Mitchell] and an unknown co-defendant planned and committed a robbery of the victim taking his cellphone at gunpoint. [Speed-Mitchell] used Witness #1's texting app to lure the victims to the location of the crime leading them to believe that they were going there to meet Witness #1 for sex.
Witness #1 was interviewed and stated that she was asked to find someone from her contacts to text and convince to meet so that [Speed-Mitchell] and [an] un-known co-defendant could rob them. Witness #1 said she initially had a texting conversation with Victim #1 but later she was at the hospital and during that time [Speed-Mitchell] had logged onto her texting app account and began texting Victim #1 directly.
A copy of the texts that were sent and received between the texting app and Victim #1's cellphone showed that [Speed-Mitchell] was texting Victim #1 as well as communicating with Witness #1 while she was in the hospital. The text showed [Speed-Mitchell] luring Victim #1 the hospital and talking about robbing [them] with Witness #1. The text from [Speed-Mitchell] to Witness #1 after the robbery stated, ‘Nigga ain't have no money,’ and then ‘Its troll all around here bra delete that text now account ion know how to do it.’ Additionally, in the text conversations between [Speed-Mitchell] and Witness #1 they call each other by name.
During the robbery, Victim #2, who accompanied Victim #1 to the location, was struck with a gun on his head and received several stitches as a result. Victim #1' IPhone 11 valued at $1,500.00 was stolen during the robbery.”
On July 20, 2020, prosecutors formally filed the aggravated battery charge but declined to prosecute for armed robbery. One day later, Speed-Mitchell’s public defender submitted a release motion on his behalf, stating his client was the victim of a shooting on May 15, 2020 and that he could not receive adequate care in the jail amid the ongoing COVID-19 pandemic due to inmates that were affected. Soon after, Judge William Davis granted the motion.

On August 22, 2020, Speed-Mitchell was arrested and charged with misdemeanor domestic battery after allegedly battering his brother at a children’s birthday party. GPD Officer Thomas Kooplikkattu reported the following:
“LEO responded to the above location in reference to a domestic battery in progress. WIT1 observed [Speed-Mitchell] strike the VIC with a closed fist multiple times due to an altercation regarding [Speed-Mitchell]'s child's birthday party. The VIC stated that [Speed-Mitchell] attempted to punch WIT2 in the face as well as WIT1. WIT2 confirmed the VIC's and WIT1's account of the incident. WIT1 stated that [Speed-Mitchell] walked across the street from the above location but then returned to start fighting with the VIC once again. WIT1 showed surveillance footage to LEO of WIT1's driveway which verified her statement.
Post Miranda, [Speed-Mitchell] admitted to striking the VIC but stated that it was in self defense. [Speed-Mitchell] is currently on house arrest but stated he received authorization to attend the birthday party this afternoon.
[Speed-Mitchell] and VIC are brothers and have known each other their entire lives. The VIC positively identified [Speed-Mitchell] in person and on scene.”
After his arrest, Speed-Mitchell’s public defender submitted another release motion, citing his client’s need for physical therapy. The motion adds that Speed-Mitchell was “in discussions with Santa Fe College to return to school.”Davis denied the motion.

On September 28, 2020, prosecutors dropped the misdemeanor case but the felony case remained pending. After the charge was dropped, Speed-Mitchell’s public defender made another release motion that went unopposed by prosecutors and was granted by Davis.
On October 17, 2020, Speed-Mitchell was arrested and charged with felony domestic battery and false imprisonment.
According to the arrest report, Speed-Mitchell walked into the victim’s apartment unannounced to talk about their recent breakup. At some point during the conversation, Speed-Mitchell reportedly dragged the victim to the floor and punched her in the face multiple times. The victim ran away in an attempt to get help but Speed-Mitchell reportedly grabbed her and dragged her back to the room while she yelled for help.
“The victim stated that she felt like she was going to die that night after being held against her will,” states the arrest report. She told police she was in the room for an hour. The victim had injuries to her right eye which included a busted vein that required surgery. Her eye was completely bloody and she had minor scratches on her shoulders from being dragged on the carpet.
On February 8, 2021, Speed-Mitchell submitted a no contest plea for the aggravated battery charge stemming from the robbery, and as part of the plea deal prosecutors dropped the brutal domestic violence case. Speed-Mitchell was sentenced to about one month short of two years in prison.

Perjury Case and Shooting
On August 18, 2021, prosecutors directly filed a count of perjury against Speed-Mitchell for making contradictory statements during two sworn testimonies in the shooting case in which he was the victim.
The Florida Department of Corrections website in correlation with court records indicates that Speed-Mitchell was released into the custody of the Alachua County Jail after completing his sentence in April 2022 due to the perjury case still being open.

There isn’t much information available in court documents regarding the specific contradictions Speed-Mitchell made. After his prison sentence was completed, his public defender made a bond reduction motion that said, “A lot of information on this case appears to be dangerous if made available to the public. As such, Undersigned Counsel is going to reserve arguments in favor of this bond for the bond hearing set for next week.”
In August 2022, Speed-Mitchell was convicted of perjury in a no contest plea deal and received a time-served sentence.
Although the facts of the perjury case are unclear, the charging document does reveal the name of the alleged shooter, Derolos Kawanne Anderson Jr.
Anderson’s attempted homicide charge was dropped, and he received a seven-year prison sentence for convictions of possessing a firearm as a convicted felon and possessing an unlicensed firearm in a plea deal that was accepted by Judge David Kreider and signed off by prosecuting attorney Daniel Owen.

Anderson is serving his sentence at the Columbia Correctional Institution and is scheduled to be released on October 17, 2026.

Anderson’s police report provides indications of what may have occurred the night of May 15, 2020, when Speed-Mitchell was shot.
The report indicates gang violence was the primary motivator of the shooting, with the report referring to Speed-Mitchell as a member of Da South. A fight reportedly broke out between Speed-Mitchell and James Hamilton, a member of K.I.G. The report indicates the fight was more of a punch-out than a shoot-out until the suspect fired several shots.
A total of five people were shot or injured, including Speed-Mitchell and Anderson, who has been documented as a K.I.G. member. The report states Anderson’s grandma called the police, saying her grandson was shot. The report indicates that Anderson initially believed he was shot, but it ended up being a glass fragment that landed in his eye.
In the grandma’s yard, Officer Lionel Oritz observed a silver Chevy Malibu with the door open, with the vehicle still running. The driver’s side window was shattered, and the door appeared to be struck by gunfire. A .40 caliber firearm sat in plain-view on the driver side floorboard, which was loaded with seven rounds.
Sgt. Joseph Castor made contact with Anderson at Shands Hospital where he admitted to arriving at the scene in the model of vehicle found at his grandmother’s house. Believing he had suffered a gunshot wound to the eye, Anderson told Castor he didn’t know who shot him.
Speed-Mitchell told Castor that “D-Money” shot him and was able to positively identify Anderson as “D-Money.”
Castor alleged that Anderson’s “actions of committing an attempted murder in the presence of other documented ‘K.I.G.’ members enhanced his status in the criminal street gang organization…”
2023-2025 Cases
On June 13, 2023, Speed-Mitchell was arrested and charged with misdemeanor domestic battery.
According to the arrest report, Speed-Mitchell had an issue with the victim going outside wearing pajamas to get a black-and-mild from her vehicle. When she returned inside, Speed-Mitchell became aggressive, reportedly slamming items around the house. The victim left the apartment and called the police.
The arrest report indicates Speed-Mitchell followed the victim outside where they continued arguing. Speed-Mitchell reportedly grabbed the phone out of the victim’s hands and broke it.
The arrest report states that the victim “tried to take her phone back from Zyvione and he punched her in the lip with a closed fist. [The victim] had a small cut on her and swelling on her upper lip as a result of the physical altercation. Post Miranda, Zyvione claimed nothing physical occurred and he refused to provide his side of the story.”
Security footage corroborated the victim’s account.
The following month, prosecutors formally filed the domestic battery charges, alongside another misdemeanor charge for contacting the victim. In September 2023, Speed-Mitchell took a plea deal in which the latter was dropped, but he was convicted of domestic battery.
The no contest plea agreement shows a sentence of 180 days in jail with 85 days time served, however, this is crossed out. Judge Walter Green ultimately imposed a sentence of one year probation. Under the probation conditions, Speed-Mitchell was required to have “no hostile contact” with the victim and required to enroll in a batterer’s intervention program (BIP).


On December 3, 2023, Speed-Mitchell was arrested and charged with aggravated battery, aggravated assault, threatening a public servant and resisting an officer without violence.
According to the arrest report, the victim called police shortly before midnight to report that Speed-Mitchell battered and choked her.
In a sworn statement, the victim said that Speed-Mitchell grabbed her shirt before grabbing her neck and holding her against a wall. Speed-Mitchell was caught on a neighbor's Ring camera rushing at the victim while holding a brick. During the attack, Speed-Mitchell reportedly told the victim, who was eight-months pregnant, that he would “beat the baby out of” her.
Alachua County Sheriff’s Office deputies found Speed-Mitchell walking near the incident location. Deputy Lloyd Smith reported:
“[Speed-Mitchell] was ordered to stop walking and place his hands on his head by name over my vehicle PA system. He complied and deputies began to detain him in handcuffs. During this detention, [Speed-Mitchell] tensed his arms and pulled his left arm away from me to inhibit my ability to properly affix the handcuffs. He was then placed on the front of a vehicle on scene with his center of balance altered in order to limit his ability to further resist…
Post-Miranda, [Speed-Mitchell] denied ever following the victim out of the house, threatening her, or battering her. He stated that he left the house first and was walking on the street at which point she also exited the house and walked to the neighbors house to use her phone. He stated that the only argument that followed was him telling her to get him a ride, but that he does not qualify that as an argument. The video footage of the incident confirmed several of [Speed-Mitchell’s] claims to be untruthful, making his credibility questionable.
During his detention in the rear of my patrol car, [Speed-Mitchell] made several overt and veiled threats to myself and other deputies. He also threatened to spit on deputies and attempted to kick out the window of my patrol vehicle, resulting in the application of a rip hobble and spit mask.
Additionally, after seeing the picture of my toddler child on my personal phone screen on the dash of my patrol vehicle, [Speed-Mitchell] threatened on my vehicles audio and video recording to ‘fuck your wife’ and ‘and your daughter too. I saw her on that camera.’ These threats were presumably made to place me in fear for my family's well-being due to my actions as a law enforcement officer.”
On March 13, 2024, prosecutors dropped all charges.
On May 10, 2024, Speed-Mitchell was arrested and charged with misdemeanor domestic battery and resisting an officer without violence.
According to the arrest report, Speed-Mitchell asked the victim for money and she declined. Speed-Mitchell reportedly punched the victim in the face, leaving swelling to her eye.
Speed-Mitchell was located by GPD officers nearby and was detained after a foot chase.
At the time of his arrest, Speed-Mitchell had a probation violation warrant from his most recent battery conviction due to not paying court costs and failing to successfully complete BIP. The probation violation form, written prior to when the late 2023 case was dropped, also states Speed-Mitchell violated the provision of not having “hostile contact” with the victim.
As he claimed in many previous cases, Speed-Mitchell told police that no physical altercation occurred. Speed-Mitchell admitted to fleeing from the police because he had a warrant, the arrest report states.
On August 26, 2024, Speed-Mitchell was charged with 303 counts of pretrial violations for unlawfully calling the victim while in jail 303 times. “During these calls, [Speed-Mitchell] apologized for his actions… but then continued to use possessive and controlling behaviors over the victim,” reported Deputy Clinton Ferguson.
On August 27, 2024, prosecutors dropped the battery/resisting case.
Out of the 303 pretrial violations, prosecutors formally filed 20 of the charges, for which he was convicted in a no contest plea deal with a time-served sentence.
On August 27, 2025, Speed-Mitchell was arrested on a warrant for aggravated battery and false imprisonment. On October 6, 2025, prosecutors formally filed both felony charges.
According to the arrest report, the victim told police Speed-Mitchell blocked and pushed her when she tried to leave the house, and she had to tell her children to climb out of a window. She said Speed-Mitchell made threats of harm towards her, causing her fear due to their prior history of domestic violence.
GPD Officer George Connolly spoke with the victim’s seven-year-old daughter who witnessed the attack. She said Speed-Mitchell was screaming in the victim’s face and began pushing her. The witness said the victim wanted to leave the residence with her children and they all began doing so but were stopped by Speed-Mitchell, who continued screaming at the victim. The witness said the victim directed her and her siblings to exit through the bedroom window because she was scared. After exiting the house, the witness went back towards the front door and saw Speed-Mitchell continuing to push and block the victim. The witness specified that when Speed-Mitchell calmed down to a certain extent, he “let” the victim leave the house.
After interviewing the witness, Connolly spoke with the victim, told her about the witnesses’ disclosures, and asked her to explain the entirety of what happened. The victim then disclosed that Speed-Mitchell shoved her when she tried to leave, further stating he slammed the front door and told her she was “not leaving.” The victim added that she also had to crawl out of a window.
The victim said she is afraid that Speed-Mitchel will kill her.
Judge Meshon Rawls set the bond at $200,000 and ordered Speed-Mitchell to not contact the victim, but she did not order any conditions regarding his usage of jail phone calls.
On November 19, 2025, Ferguson once again had to intervene on Speed-Mitchell making unlawful phone calls towards the victim. Speed-Mitchell reportedly contacted the victim from jail 249 times, however, this time Ferguson didn’t press him for each and every count, submitting approximately 40 charges. Ferguson reported:
“[Speed-Mitchell] not only used his Personal Identification Number (PIN) to contact the victim, but also the PIN of another inmate. [Speed-Mitchell] would continually harass the victim and use controlling measures such as asking why the victim didn't pick up the first time he called; and inquiring of the victim's location. [Speed-Mitchell] continues to be verbally aggressive and hostile towards the victim. During these calls, [Speed-Mitchell] would ascertain if the victim was going to help him by not cooperating. [Speed-Mitchell] also instructed the victim to make sure a juvenile witness in the case was not going to speak truthfully about the underlying charges. Utilizing both PIN's, [Speed-Mitchell] has directly contacted the victim a total of two hundred and forty-nine (249) times.”
Ferguson reported that he “respectfully requests” Speed-Mitchell’s phone call privileges be limited to attorney-use only.
On December 15, 2025, prosecutors formally filed 25 of the charges and dropped the other 15.
On February 3, 2026, Speed-Mitchell submitted a no contest plea deal and was sentenced to 364 days in jail with credit for 161 days time served.
On February 16, 2026, Speed-Mitchell submitted another plea deal for the felony case, which was downgraded to a misdemeanor after he pleaded to a lesser included offense. As part of the plea deal, no extra time was added to the sentence.

As of now, Speed-Mitchell remains in the Alachua County Jail.

Editor’s Notes: While many cases regard the same victim, not all of them do.