Man Convicted of Stalking Nearly Five Years After Incident
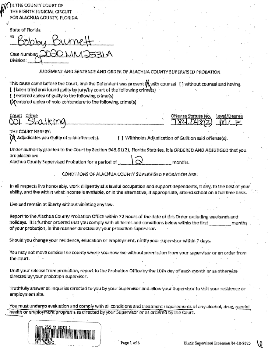
On November 6, Bobby Jack Burnett, 32, was convicted of misdemeanor stalking and sentenced to one year of probation.

Burnett was initially charged via sworn complaint by the Alachua County Sheriff’s Office in December 2020 with stalking and sexual cyber-harassment, but prosecutors dropped the latter count when filing his case.


After the victim broke up with Burnett, he began stalking her, showing up at her job on multiple occasions in addition to texting her from at least 14 different phone numbers. The victim told Burnett she did not want contact with him, but he continued.
Burnett made threats towards the victim’s father and brother, telling her if she didn’t talk to him that “something bad was going to happen” and “someone would get hurt.”
According to the sworn complaint, Burnett sent a nude picture of the victim to her brother and uploaded a video depicting her to Pornhub. Burnett reportedly sent a clip from the video to the victim before taunting her.
Under the conditions of his probation, Burnett is required to undergo a mental health evaluation and treatment.

Burnett also has a drunk driving case dating back to 2016, for which he was arrested, convicted and sentenced to one year of probation. However, the case was resolved alongside his stalking case because he violated his probation in 2017 and never answered for it until his stalking warrant was served.


According to the arrest report, Deputy Thomas Brinsko responded to One Love Cafe on April 9, 2016, around 12:30 a.m. in reference to multiple calls regarding two vehicles doing donuts outside the location and possible street racing.
Brinsko reported, “As I approached the area, I observed a white Dodge Charger quickly turn and accelerate eastbound down NW 39th Pl. The vehicle accelerated in such a manner, causing it to lose traction, and I could hear an audible screech caused by the vehicle's tires. I conducted a traffic stop on the vehicle.”
Brinsko approached and observed Burnett behind the wheel, showing clear signs of impairment.
Under the conditions of his probation, Burnett is not allowed to engage in any criminal activity, but he did when he was arrested for drunk driving in the State of California on April 28, 2017.
Burnett stacked up several more probation violations because he never paid court costs or checked in with his probation officer, neglecting to inform her that he moved to California.

Despite physically being in Gainesville in 2020 when he committed the stalking offense with a warrant out for his traffic probation violation, Burnett wasn’t re-arrested and remained at large for nearly five more years.
According to his stalking sworn complaint, Burnett still had a registered address in California at the time of the incident. The sworn complaint doesn't say the reason Burnett was not arrested, and there are no dockets in between the warrant's issuance in 2021, and Burnett's arrest in 2025, making it difficult to confirm his whereabouts after he was charged with stalking. It hasn't been verified if he fled back to his home-state or went to another location.

Generally, ACSO handles warrants.
Saturday morning, GnvInfo attempted to contact ACSO Public Information Officer Chris Sims to ask why Burnett took so long to get served and if his arrest involved extradition, but no response has been received. If there is a response during the weekday this article will be updated.